[摘要]锂电池的荷电状态是电池管理系统的重要参数之一,也是整个汽车的充放电控制策略和电池均衡工作的依据。但是由于锂电池本身结构的复杂性,其荷电状态不能通过直接测量得到,仅能根据电池的某些外特性,如电池的内阻、开路电压、温度、电流等相关参数,利用相关的特性曲线或计算公式完成对荷电状态的预测工作。
一、荷电状态(SOC)定义
SOC即State of Charge,指电池的荷电状态。从电量、能量等不同的角度,SOC有多种不同的定义方式。美国先进电池联合会(USABC)定义的SOC被广泛采用,即电池在一定的放电倍率下,剩余电量与相同条件下额定容量的比值。相应的计算公式为:
式中,Qm为电池按照恒定的电流I进行放电时的最大放电容量;Q(In)为在t时间里,标准的放电电流I下电池所释放的电量。
二、锂电池荷电状态预测方法
锂电池的荷电状态是电池管理系统的重要参数之一,也是整个汽车的充放电控制策略和电池均衡工作的依据。但是由于锂电池本身结构的复杂性,其荷电状态不能通过直接测量得到,仅能根据电池的某些外特性,如电池的内阻、开路电压、温度、电流等相关参数,利用相关的特性曲线或计算公式完成对荷电状态的预测工作。
锂电池的荷电状态估算是非线性的,目前常用的方法主要有放电实验法、开路电压法、安时积分法、卡尔曼滤波法、神经网络法等。
1 放电实验法
放电实验法的原理是:以恒定的电流使电池处于不间断的放电状态,当放电到达截止电压时对所放电量进行计算。放电电量值为放电时所采用的恒定电流值与放电时间的乘积值。放电实验法经常在实验室条件下估算电池的荷电状态,并且目前许多电池厂商也采用放电法进行电池的测试。
它的显著优点是方法简单,估算精度也相对较高。其缺点也很突出:不可以带负载测量,需要占用大量的测量时间,并且放电测量时,必须中断电池之前进行的工作,使电池置于脱机状态,因此不能在线测量。行驶中的电动汽车电池一直处于工作状态,其放电电流并不恒定,此法不适用。但放电实验法可在电池检修和参数模型的确定中使用。
2 开路电压法
电池长时间充分静置后的各项参数相对稳定,此时的开路电压与电池荷电状态间的函数关系也是相对比较稳定的。若想获得电池的荷电状态值,只需测得电池两端的开路电压,并对照OCV-SOC曲线来获取相应信息。
开路电压法的优点是操作简单,只需测量开路电压值对照特性曲线图即可获得荷电状态值。但是其缺点有很多:首先此方法要想获得准确值,必须使电池电压处于相对稳定状态,但电池往往需要长时间的静置,方可处于此状态,从而无法满足实时监测要求,往往应用于电动汽车长时间的驻车时。
当电池充放电比率不同的情况下,由于电流的波动会使电池开路电压发生变化,从而导致电池组的开路电压不一致,使得预测的剩余电量与电池实际剩余电量产生较大偏差。
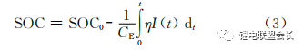
3 安时积分法
安时积分法不考虑电池内部的作用机理,根据系统的某些外部特征,如电流、时间、温度补偿等,通过对时间和电流进行积分,有时还会加上某些补偿系数,来计算流入流出电池的总电量,从而估算电池的荷电状态。目前安时积分法在电池管理系统中被广泛应用。安时积分法的计算公式如下:
式中,SOC0是电池电荷状态的初始电量值;CE是电池的额定容量;I(t)为电池在t时刻的充放电电流;t为充放电的时间;η为充放电效率系数,又被称作库伦效率系数,代表了充放电过程中电池内部的电量耗散,一般以充电放电的倍率和温度修正系数为主。
安时积分法的优点是受电池自身情况的限制相对较小,计算方法简单、可靠,能够对电池的荷电状态进行实时的估算。其缺点是由于安时计量法在控制中属于开环的检测,如果电流的采集精度不高,给定的初始荷电状态有一定误差,伴随着系统运行时间的延伸,之前产生的误差会逐渐累积,从而影响荷电状态的预测结果。并且由于安时积分法只是从外特性来分析荷电状态,多环节存在一定误差。从安时积分法计算公式中可以看出,电池的初始电量对计算结果的准确性影响较大。
为了能使电流测量的精度得到提高,通常采用高性能的电流传感器来测量电流,但这样加大了成本。为此,许多学者在应用安时积分法的同时应用开路电压法,将二者结合。开路电压法用来估算电池的初始荷电状态,安时积分法用于实时估算,并且在算式中添加相关修正因子,以提高计算准确性。
4 卡尔曼滤波法
卡尔曼滤波算法是利用时域状态空间理论的一种最小方差估计,属于统计估计的范畴,宏观上就是尽可能减小和消除噪声对观测信号的影响,其核心是最优估计,即系统的输入量在预估基础上对状态变量进行的有效修正。
该算法的基本原理是:将噪声与信号的状态空间模型作为算法模型,在测量时,应用当前时刻的观测值与上一时刻的估计值,对状态变量的估算进行更新。卡尔曼滤波算法对锂电池荷电状态进行预测的实质是安时积分法,同时用测量的电压值来对初步预测得到的值进行修正。
卡尔曼滤波法的优点是适合计算机对数据进行实时运算处理,应用范围广,可以用于非线性系统,对行驶过程中电动汽车的荷电状态预测具有较好的效果。卡尔曼滤波法的缺点是对电池模型的准确程度依赖较大,为了提高该算法预测结果的准确性和精度,需要建立可靠的电池模型。此外,卡尔曼滤波法的算法相对比较复杂,因此其计算量也相对较大,对运算器的性能有较高要求。
5 神经网络法
神经网络的目的是模仿人类的智能行为,通过并行结构与自身较强的学习能力获得数据表达的能力,能够在外部激励存在时给出相应的输出响应,并使具有良好的非线性映射能力。
神经网络法应用于锂电池荷电状态检测的原理是:将大量相对应的电压、电流等外部数据以及电池的荷电状态数据作为训练样本,通过神经网络自身学习过程中输入信息的正向传播和误差传递的反向传播反复进行训练和修改,在预测的荷电状态达到设计要求的误差范围内时,通过输入新的数据来得到电池的荷电状态预测值。
神经网络法的优点是可以对各种电池的荷电状态进行估算,适用范围广;不需要建立特定的数学模型,不用考虑电池内部复杂的化学变化过程,只需选择合适的样本,以及建立较好的神经网络模型,并且样本数据越多,其估算的精度越高;能够随时确定电池的荷电状态。神经网络法的缺点是对硬件要求较高,训练时所采用的数据样本的准确性、样本容量和样本分布以及训练方法都会对电池的荷电状态预测产生很大的影响。
三、总结
本文对目前几种主要的锂电池荷电状态预测方法做了简单的介绍,详细分析了它们各自的优缺点。目前安时积分法仍然是应用最多的荷电状态预测方法,但由于安时积分法自身的局限性,往往结合开路电压法等其他方法共同完成对锂电池初始荷电状态的检测。
从发展趋势来看,锂电池的荷电状态预测考虑的因素越来越全面,所采用的预测方法往往是前述好几种方法的综合应用,使得预测结果更加准确。而且目前锂电池的等效电路模型不断发展,更加接近实际,使得荷电状态预测精度得到进一步提升。
转载请注明出处。
1.本站遵循行业规范,任何转载的稿件都会明确标注作者和来源;2.本站的原创文章,请转载时务必注明文章作者和来源,不尊重原创的行为我们将追究责任;3.作者投稿可能会经我们编辑修改或补充。


热点推荐
精选导读


关注我们